石墨烯因其独特的线性能量色散关系、高迁移率和潜在的在纳米电子学器件和电路的应用而备受学术界和产业界的关注。石墨烯的本征磁性研究是研制电子属性和自旋属性有机结合的自旋电子学器件的基础。而石墨烯是仅有S和P电子的材料,其磁性来源于部分填充的电子态,如缺陷或边界态,且磁性非常弱。任何ppm量级的磁性杂质污染都有可能掩盖石墨烯的本征磁性而使其表现出杂质磁性的假象。所以国内外涉及石墨烯磁性的实验报道争议较大。室温铁磁性、顺磁性甚至室温超导等令人兴奋的结果均有报道。产生这些有争议结论的根本原因是缺少高纯、宏量的石墨烯。因此,研究和揭示石墨烯宏观磁性的前提是拥有宏量、化学纯净的石墨烯材料。
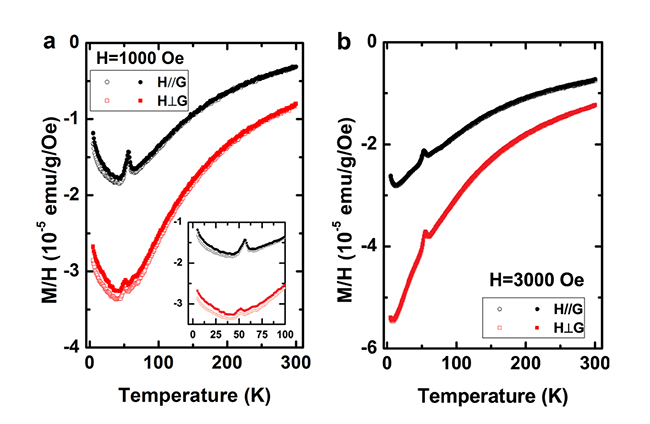
中国科学院物理研究所/北京凝聚态物理国家实验室(筹)先进材料与结构分析实验室陈小龙研究组(A02组,功能晶体研究与应用中心)博士生陈莲莲、郭丽伟研究员等发展了完全碳化SiC晶片制备高纯石墨烯的方法。通过完全碳化非极性SiC(10-10)晶片制备出有序排列、具有不规则zigzag边的毫克量级的石墨烯材料(RSC Advances, 2013, 3, 13926)。基于这种高纯的石墨烯材料系统研究了石墨烯的磁矩与温度(图1)、磁矩与外场的关系(图2),首次绘出了石墨烯的磁相图(图3)。实验发现,在这种具有不规则zigzag边的石墨烯材料中铁磁、反铁磁和抗磁共存。石墨烯zigzag边的磁性迭加在石墨烯自由电子的朗道抗磁本底上。去除抗磁本底后,石墨烯zigzag边的磁性被揭示出来。石墨烯边界连续的zigzag边组成基本磁有序单元,其铁磁居里温度是820±80 K,不同子晶格中磁有序单元的反铁磁有序尼尔温度是54±2 K。室温下,如果石墨烯边界上连续的zigzag边的数目大于3个,人们会观测到铁磁性,否则会观测到顺磁性。他们绘制的石墨烯的磁相图对于深入理解石墨烯的本征磁性和澄清现有报道中石墨烯磁性的混乱结果具有重要意义。相关结果发表在近期出版的Scientific Reports杂志上( Scientific Reports 3, 02599(2013)/doi:10.1038/ )。
上述工作得到了国家自然科学基金委、科技部和中国科学院的支持。
图1 有序排列的石墨烯样品在一定场强下磁化率随温度的变化。
图2 在不同温度下石墨烯的磁矩随磁场强度的变化曲线。每幅图右下角的插图为在低场下的放大图。
图3 有序排列石墨烯的磁相图。

电池网微信












