具有微纳米多级形貌的图案化薄膜具有特殊的亲疏液性能,在自清洁、摩擦学、腐蚀学等研究领域中占有重要的位置。
中国科学院宁波材料技术与工程研究所乌学东科研团队通过电化学-化学共沉积的方式得到了表面形貌逐步变化的Ni-P合金薄膜,这一薄膜无需进行低表面能物质的修饰即展现出了超疏水性能。近期,该课题组对这一共沉积形貌的变化进行了更深入的研究,利用电化学工作站采集和分析的数据对薄膜的电化学成核机理有了更深的认识。
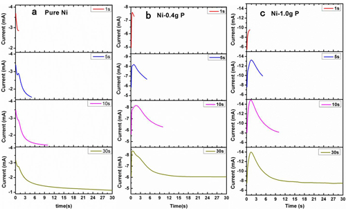
电解液中还原剂的加入,产生了去极化现象,增大了沉积电流。纯Ni薄膜沉积过程存在一个扩散控制区,而协同沉积过程中没有出现对应的扩散控制区现象。这说明协同沉积过程此时电极表面存在其它反应,增加了电流。纯Ni薄膜成核起始阶段出现的双电层充电现象也在协同沉积时消失(图1),这是由于还原剂的加入对双电层结构产生了影响。从形貌上来看,纯Ni薄膜沉积时得到的为平整薄膜状结构,Ni-P协同沉积得到的成核形貌全部为球状结构,这是由于薄膜在成核初始阶段,由于电沉积的作用远远强于化学沉积,溶液中的镍离子首先会在电场的作用下被还原为金属原子。起始沉积,镍原子的数量不多,因此比表面积较大悬键多,催化活性高,可以作为催化剂催化溶液中的还原剂与金属镍离子进行化学沉积,在这一高活性镍周围沉积,形成了球状结构(图2)。即发生化学沉积所需要的催化剂是由电沉积成核时产生的高活性镍。这一过程导致了球状成核形貌的产生,与普通的薄膜状成核相比,存在明显差异。
该薄膜具有超疏水低接触角滞后等优异的性能,结合镍合金本身良好的防腐蚀性能,这一图案化薄膜在防腐方面具有应用价值的潜力。同时,图案化形貌的存在,不利于微生物在表面的吸附,也可以应用于防污领域。
此研究发现发表在英国皇家化学会杂志RSC advances(RSC Advances, 2015, 5, 27242 - 27248)上。
此研究工作得到了中国国家自然科学基金(No.51475450,51335010)和国家基础研究项目(No.2014CB643302)及浙江省创新团队(No. 2011R50006)的支持。

电沉积(a)和协同沉积(b, c)在及时电流曲线中差别:电流的下降区(a)在协同沉积过程中消失

电化学化学协同沉积示意图(左)和协同沉积与普通电沉积在阴极极化曲线和成核形貌之间的区别(右)

电池网微信












